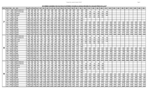
1972 Draft Lottery Chart

1972 Draft Lottery Chart

The 1972 Draft Lottery Chart is a pivotal document in American history, marking a significant shift in the way the United States managed the Selective Service System during the Vietnam War era. This chart, which determined the order of call-ups for military service based on birthdates, played a crucial role in shaping the lives of many young men and their families. Understanding the 1972 Draft Lottery Chart provides insights into the social, political, and historical context of that tumultuous period.

The Historical Context of the 1972 Draft Lottery

The Vietnam War was a divisive and traumatic event for the United States. The draft, or Selective Service System, was the mechanism by which young men were conscripted into military service. The system was based on a lottery that assigned a number to each birthdate, determining the order in which individuals would be called to serve. The 1972 Draft Lottery Chart was one of the final iterations of this system before the draft was suspended in 1973.

How the 1972 Draft Lottery Chart Worked

The 1972 Draft Lottery Chart was designed to ensure a fair and random selection process. Here’s how it worked:

  • The Selective Service System conducted a lottery drawing on December 1, 1971, for men born in 1953.
  • Each birthdate was assigned a number between 1 and 366 (to account for leap years).
  • The lower the number, the higher the priority for induction into the military.
  • Men with birthdates corresponding to lower numbers were called to serve first.

For example, if your birthdate was assigned the number 1, you were among the first to be called. Conversely, if your number was 366, you were among the last.

The Impact of the 1972 Draft Lottery Chart

The 1972 Draft Lottery Chart had profound implications for those affected by it. The randomness of the lottery meant that young men’s lives could be dramatically altered based on a simple draw. This unpredictability added to the stress and uncertainty of the era. Here are some key impacts:

  • Emotional Toll: The lottery created a sense of anxiety and fear among young men and their families. The uncertainty of whether one would be called to serve was a constant source of stress.
  • Social Unrest: The draft was a significant contributor to the anti-war movement. Many young men sought ways to avoid the draft, leading to protests, draft evasion, and even emigration to Canada.
  • Educational and Career Decisions: The lottery influenced educational and career choices. Some young men rushed to enroll in college or find deferments to avoid being drafted.

The 1972 Draft Lottery Chart: A Detailed Look

The 1972 Draft Lottery Chart is a comprehensive document that lists all the birthdates and their corresponding numbers. Here is a simplified version of how the chart might look:

Birthdate Lottery Number
January 1 310
January 2 235
January 3 147
January 4 289
January 5 103
January 6 342
January 7 21
January 8 198
January 9 301
January 10 264

This table illustrates how each birthdate was assigned a specific number, which determined the order of call-up. The actual chart is much more extensive, covering all 366 possible birthdates.

📝 Note: The numbers in the table are for illustrative purposes only and do not reflect the actual 1972 Draft Lottery Chart numbers.

The End of the Draft

The 1972 Draft Lottery Chart was one of the last major events in the history of the Selective Service System. In 1973, the draft was suspended, and the United States transitioned to an all-volunteer military. This shift was influenced by several factors, including the end of the Vietnam War and the growing public opposition to the draft. The suspension of the draft marked a significant change in how the military was staffed and had long-lasting effects on American society.

Legacy of the 1972 Draft Lottery Chart

The 1972 Draft Lottery Chart serves as a historical artifact that reminds us of a tumultuous period in American history. It highlights the complexities and controversies surrounding the draft and the Vietnam War. The chart is a poignant reminder of the sacrifices made by those who were called to serve and the social and political upheaval of the era.

The legacy of the 1972 Draft Lottery Chart extends beyond its historical significance. It continues to be a subject of study for historians, sociologists, and political scientists. The chart provides valuable insights into the workings of the Selective Service System and the broader social and political context of the time. It also serves as a cautionary tale about the impact of conscription on society and the importance of fair and transparent selection processes.

In conclusion, the 1972 Draft Lottery Chart is a critical document that encapsulates the challenges and controversies of the Vietnam War era. It offers a window into the lives of young men who were affected by the draft and the broader social and political landscape of the time. Understanding the 1972 Draft Lottery Chart helps us appreciate the complexities of military conscription and the enduring impact of historical events on contemporary society.

Related Terms:

  • selective service lottery 1972
  • 1972 selective service draft numbers
  • 1972 draft lottery results
  • 1972 draft lottery numbers
  • draft numbers 1972 by birthday
  • 1972 military draft