Caffeine Lewis Structure

Caffeine Lewis Structure

Understanding the molecular structure of compounds is fundamental in chemistry, and one of the most intriguing molecules to study is caffeine. Caffeine, a stimulant found in coffee, tea, and various other beverages, has a unique molecular structure that contributes to its effects on the human body. One of the key aspects of studying caffeine is understanding its Caffeine Lewis Structure. This structure provides insights into the chemical bonds, electron distribution, and overall stability of the molecule.

What is the Caffeine Lewis Structure?

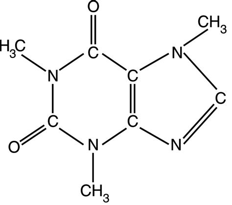
The Caffeine Lewis Structure is a diagrammatic representation of the molecule that shows how atoms are bonded together and how electrons are distributed. Caffeine, with the chemical formula C8H10N4O2, consists of eight carbon atoms, ten hydrogen atoms, four nitrogen atoms, and two oxygen atoms. The Lewis structure helps visualize the arrangement of these atoms and the types of bonds they form.

Steps to Draw the Caffeine Lewis Structure

Drawing the Caffeine Lewis Structure involves several steps. Here’s a detailed guide to help you through the process:

Step 1: Determine the Total Number of Valence Electrons

First, calculate the total number of valence electrons in the molecule. Each carbon atom contributes 4 valence electrons, each hydrogen atom contributes 1, each nitrogen atom contributes 5, and each oxygen atom contributes 6.

For caffeine (C8H10N4O2):

  • Carbon: 8 atoms × 4 valence electrons = 32 electrons
  • Hydrogen: 10 atoms × 1 valence electron = 10 electrons
  • Nitrogen: 4 atoms × 5 valence electrons = 20 electrons
  • Oxygen: 2 atoms × 6 valence electrons = 12 electrons

Total valence electrons = 32 + 10 + 20 + 12 = 74 electrons.

Step 2: Identify the Central Atom

In the caffeine molecule, carbon atoms typically form the backbone of the structure. The nitrogen and oxygen atoms are attached to the carbon framework.

Step 3: Arrange the Atoms

Arrange the atoms in a way that forms a stable structure. Caffeine has a heterocyclic structure with two fused rings. The basic structure includes a six-membered ring and a five-membered ring.

Step 4: Form Single Bonds

Start by forming single bonds between the atoms. Each single bond consists of 2 electrons. Continue forming single bonds until all atoms have at least one bond.

Step 5: Distribute Remaining Electrons

After forming single bonds, distribute the remaining electrons to complete the octets of the atoms. Remember that hydrogen atoms only need 2 electrons to complete their valence shell.

Step 6: Form Multiple Bonds

If there are remaining electrons after completing the octets, form multiple bonds (double or triple bonds) as needed. In caffeine, there are double bonds between some carbon and nitrogen atoms, as well as between carbon and oxygen atoms.

Step 7: Check for Formal Charges

Ensure that the structure has the minimum number of formal charges. Formal charges should be as close to zero as possible for a stable structure.

📝 Note: The Lewis structure of caffeine can vary slightly depending on the resonance structures, but the basic framework remains consistent.

Resonance Structures of Caffeine

Caffeine exhibits resonance, which means there are multiple valid Lewis structures that can represent the molecule. Resonance structures differ in the placement of double bonds and lone pairs of electrons. Understanding these structures helps in comprehending the delocalization of electrons and the stability of the molecule.

Here is a simplified representation of the resonance structures of caffeine:

Structure 1 Structure 2 Structure 3
Caffeine Structure 1 Caffeine Structure 2 Caffeine Structure 3

These structures show different arrangements of double bonds and lone pairs, contributing to the overall stability of the caffeine molecule.

Properties of Caffeine

The unique Caffeine Lewis Structure contributes to several of its properties:

  • Solubility: Caffeine is soluble in water and organic solvents, which is partly due to its polar and non-polar regions.
  • Stability: The delocalization of electrons through resonance structures enhances the stability of the molecule.
  • Biological Activity: The structure allows caffeine to interact with adenosine receptors in the brain, leading to its stimulant effects.

Applications of Caffeine

Caffeine’s unique structure and properties make it useful in various applications:

  • Beverages: Caffeine is a key ingredient in coffee, tea, and energy drinks, providing a stimulant effect.
  • Pharmaceuticals: It is used in some medications to enhance alertness and treat certain conditions like migraines.
  • Food Industry: Caffeine is added to some foods and supplements to boost energy levels.

Understanding the Caffeine Lewis Structure is crucial for appreciating its role in these applications and its impact on human physiology.

Caffeine’s molecular structure, as represented by its Lewis structure, provides valuable insights into its chemical properties and biological effects. By understanding the arrangement of atoms and the distribution of electrons, we can better comprehend how caffeine interacts with the body and its various applications. The resonance structures further enhance our understanding of the molecule’s stability and reactivity. Whether you are a student of chemistry or simply curious about the science behind your morning cup of coffee, exploring the Caffeine Lewis Structure offers a fascinating journey into the world of molecular chemistry.

Related Terms:

  • caffeine lewis diagram
  • caffeine lewis structure diagram
  • caffeine structure and formula
  • picture of caffeine molecule
  • caffeine boiling point and melting
  • structural diagram of caffeine