Di Ethyl Malonate

Di Ethyl Malonate

Diethyl malonate is a versatile chemical compound widely used in organic synthesis, particularly in the production of pharmaceuticals, agrochemicals, and various industrial chemicals. Its unique properties make it an essential building block in the synthesis of complex organic molecules. This compound is a diester derived from malonic acid, and its chemical formula is C7H12O4. Understanding the synthesis, properties, and applications of diethyl malonate is crucial for chemists and researchers in various fields.

What is Diethyl Malonate?

Diethyl malonate, often abbreviated as DEM, is a colorless liquid with a fruity odor. It is a diester of malonic acid, which means it has two ethyl ester groups attached to a central malonate moiety. The compound is highly reactive and serves as a key intermediate in numerous chemical reactions. Its molecular structure allows for easy substitution and modification, making it a valuable reagent in organic chemistry.

Synthesis of Diethyl Malonate

Diethyl malonate is typically synthesized through the esterification of malonic acid with ethanol. This process involves the reaction of malonic acid with ethanol in the presence of a catalyst, usually sulfuric acid. The reaction proceeds via a nucleophilic substitution mechanism, where the hydroxyl groups of ethanol attack the carbonyl carbon of malonic acid, leading to the formation of diethyl malonate.

The general reaction can be represented as follows:

📝 Note: The reaction is typically carried out under reflux conditions to ensure complete esterification.

Properties of Diethyl Malonate

Diethyl malonate exhibits several important properties that make it a valuable compound in organic synthesis. Some of its key properties include:

  • Molecular Formula: C7H12O4
  • Molecular Weight: 160.17 g/mol
  • Boiling Point: 199-200°C
  • Melting Point: -50°C
  • Density: 1.05 g/mL
  • Solubility: Soluble in most organic solvents, slightly soluble in water
  • Odor: Fruity

These properties make diethyl malonate a versatile reagent in various chemical reactions. Its solubility in organic solvents and its reactivity make it an ideal choice for many synthetic applications.

Applications of Diethyl Malonate

Diethyl malonate finds extensive use in the synthesis of various organic compounds. Its applications span across multiple industries, including pharmaceuticals, agrochemicals, and industrial chemicals. Some of the key applications include:

Pharmaceuticals

In the pharmaceutical industry, diethyl malonate is used as a starting material for the synthesis of various drugs. Its ability to undergo facile substitution reactions makes it an ideal building block for the synthesis of complex pharmaceutical compounds. For example, it is used in the synthesis of barbiturates, which are a class of drugs used as sedatives and hypnotics.

Agrochemicals

Diethyl malonate is also used in the synthesis of agrochemicals, such as pesticides and herbicides. Its reactivity allows for the creation of compounds that can effectively control pests and weeds without harming crops. The ability to tailor the properties of the final product makes diethyl malonate a valuable reagent in agrochemical synthesis.

Industrial Chemicals

In the industrial sector, diethyl malonate is used in the production of various chemicals, including dyes, plastics, and resins. Its versatility allows for the creation of a wide range of products with specific properties. For example, it is used in the synthesis of polyesters, which are used in the production of fibers and plastics.

Reactions Involving Diethyl Malonate

Diethyl malonate undergoes a variety of chemical reactions, making it a versatile reagent in organic synthesis. Some of the key reactions include:

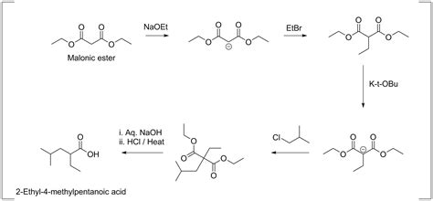
Alkylation

One of the most common reactions involving diethyl malonate is alkylation. In this reaction, the malonate ester undergoes nucleophilic substitution with an alkyl halide in the presence of a strong base, such as sodium ethoxide. The resulting alkylated product can be further modified to yield a wide range of compounds.

The general reaction can be represented as follows:

📝 Note: The alkylation reaction is typically carried out under anhydrous conditions to prevent side reactions.

Decarboxylation

Another important reaction involving diethyl malonate is decarboxylation. In this reaction, the malonate ester undergoes thermal decomposition to yield a carboxylic acid and carbon dioxide. This reaction is often used to synthesize carboxylic acids from malonate esters.

The general reaction can be represented as follows:

📝 Note: The decarboxylation reaction is typically carried out at high temperatures to ensure complete decomposition.

Hydrolysis

Diethyl malonate can also undergo hydrolysis to yield malonic acid and ethanol. This reaction is typically carried out in the presence of an acid or a base. The resulting malonic acid can be further modified to yield a wide range of compounds.

The general reaction can be represented as follows:

📝 Note: The hydrolysis reaction is typically carried out under mild conditions to prevent side reactions.

Safety and Handling

While diethyl malonate is a valuable reagent in organic synthesis, it is important to handle it with care. The compound is flammable and can cause skin and eye irritation. Proper safety measures should be taken when handling diethyl malonate, including the use of personal protective equipment (PPE) and adequate ventilation.

In case of accidental exposure, immediate medical attention should be sought. Diethyl malonate should be stored in a cool, dry place away from sources of ignition and incompatible substances.

Environmental Impact

Diethyl malonate, like many chemical compounds, can have environmental impacts if not handled properly. It is important to dispose of diethyl malonate and its byproducts in accordance with local regulations to minimize environmental harm. Proper waste management practices should be followed to ensure that diethyl malonate does not contaminate the environment.

In addition, the use of diethyl malonate in industrial processes should be monitored to ensure that it does not contribute to environmental pollution. Sustainable practices should be adopted to minimize the environmental impact of diethyl malonate and its derivatives.

Future Prospects

The future of diethyl malonate in organic synthesis looks promising. As research continues to uncover new applications and reactions involving diethyl malonate, its importance in various industries is likely to grow. The development of new synthetic methods and the discovery of novel compounds derived from diethyl malonate will further expand its use in pharmaceuticals, agrochemicals, and industrial chemicals.

In addition, the focus on sustainable and green chemistry will drive the development of more environmentally friendly methods for the synthesis and use of diethyl malonate. This will ensure that diethyl malonate continues to be a valuable reagent in organic synthesis while minimizing its environmental impact.

In summary, diethyl malonate is a versatile and important compound in organic synthesis. Its unique properties and reactivity make it an essential building block in the synthesis of various organic compounds. Understanding the synthesis, properties, and applications of diethyl malonate is crucial for chemists and researchers in various fields. As research continues to uncover new applications and reactions involving diethyl malonate, its importance in various industries is likely to grow. The development of new synthetic methods and the discovery of novel compounds derived from diethyl malonate will further expand its use in pharmaceuticals, agrochemicals, and industrial chemicals. The focus on sustainable and green chemistry will ensure that diethyl malonate continues to be a valuable reagent in organic synthesis while minimizing its environmental impact.