Differentiate 1 1 Cosx

Differentiate 1 1 Cosx

In the realm of calculus and trigonometry, understanding how to differentiate trigonometric functions is crucial. One of the fundamental functions in this context is the cosine function, often denoted as cos(x). Differentiating 1 1 cosx, or more accurately, differentiating cos(x), involves applying the rules of differentiation to trigonometric functions. This process is not only essential for solving complex mathematical problems but also has practical applications in fields such as physics, engineering, and computer science.

Understanding the Cosine Function

The cosine function, cos(x), is a periodic function that oscillates between -1 and 1. It is defined as the x-coordinate of a point on the unit circle corresponding to an angle x radians. The cosine function is closely related to the sine function, sin(x), and together they form the basis for many trigonometric identities and transformations.

Differentiating Cosine Function

To differentiate cos(x), we use the derivative of the cosine function, which is given by:

-sin(x)

This means that if you have a function f(x) = cos(x), then its derivative f’(x) is -sin(x). This rule is fundamental and is derived from the basic principles of calculus.

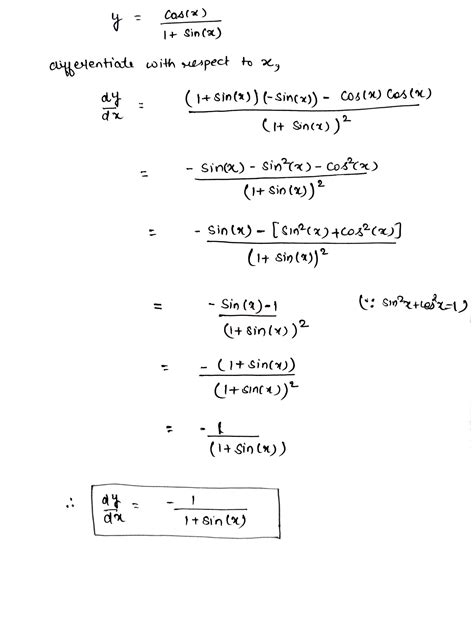
Differentiating 1 1 Cosx

When we refer to differentiating 1 1 cosx, we are essentially looking at the derivative of the function cos(x). However, it’s important to clarify that “1 1 cosx” is not a standard mathematical notation. If we interpret it as cos(x), then the differentiation process remains the same.

Let’s break down the steps to differentiate cos(x):

  • Identify the function: f(x) = cos(x)
  • Apply the derivative rule for cosine: f’(x) = -sin(x)

Therefore, the derivative of cos(x) is -sin(x).

Applications of Differentiating Cosine Function

The ability to differentiate the cosine function has numerous applications across various fields. Here are a few key areas where this skill is particularly useful:

  • Physics: In physics, the cosine function is often used to describe wave motion, harmonic oscillators, and other periodic phenomena. Differentiating cos(x) helps in analyzing the rate of change of these phenomena.
  • Engineering: Engineers use trigonometric functions to model and analyze systems that involve periodic motion, such as electrical circuits and mechanical systems. Differentiating cos(x) is essential for understanding the behavior of these systems.
  • Computer Science: In computer graphics and animation, trigonometric functions are used to create smooth and realistic movements. Differentiating cos(x) helps in calculating the velocity and acceleration of objects in motion.

Examples of Differentiating Cosine Function

Let’s look at a few examples to illustrate the process of differentiating cos(x).

Example 1: Basic Differentiation

Consider the function f(x) = cos(x). To find its derivative, we apply the rule:

f’(x) = -sin(x)

So, the derivative of cos(x) is -sin(x).

Example 2: Differentiating a Composite Function

Now, let’s consider a more complex function, such as f(x) = cos(2x). To differentiate this, we use the chain rule:

f’(x) = -sin(2x) * (2x)’

Since the derivative of 2x is 2, we have:

f’(x) = -sin(2x) * 2

f’(x) = -2sin(2x)

Therefore, the derivative of cos(2x) is -2sin(2x).

Example 3: Differentiating a Function with a Constant

Consider the function f(x) = 3cos(x). To differentiate this, we apply the constant multiple rule:

f’(x) = 3 * (-sin(x))

f’(x) = -3sin(x)

So, the derivative of 3cos(x) is -3sin(x).

Important Trigonometric Identities

When working with trigonometric functions, it’s helpful to be familiar with some key identities. These identities can simplify the differentiation process and help solve complex problems. Here are a few important identities:

Identity Description
sin²(x) + cos²(x) = 1 Pythagorean identity
sin(x + y) = sin(x)cos(y) + cos(x)sin(y) Sum of angles formula for sine
cos(x + y) = cos(x)cos(y) - sin(x)sin(y) Sum of angles formula for cosine
sin(2x) = 2sin(x)cos(x) Double angle formula for sine
cos(2x) = cos²(x) - sin²(x) Double angle formula for cosine

📝 Note: These identities are fundamental in trigonometry and are often used in conjunction with differentiation to solve complex problems.

Advanced Differentiation Techniques

In addition to the basic differentiation rules, there are advanced techniques that can be applied to differentiate more complex trigonometric functions. These techniques include the product rule, quotient rule, and chain rule.

Product Rule

The product rule is used to differentiate the product of two functions. If you have a function f(x) = g(x)h(x), then its derivative is given by:

f’(x) = g’(x)h(x) + g(x)h’(x)

For example, if f(x) = cos(x)sin(x), then:

f’(x) = (-sin(x))sin(x) + cos(x)cos(x)

f’(x) = -sin²(x) + cos²(x)

Using the Pythagorean identity, we can simplify this to:

f’(x) = cos(2x)

Quotient Rule

The quotient rule is used to differentiate the quotient of two functions. If you have a function f(x) = g(x)/h(x), then its derivative is given by:

f’(x) = (g’(x)h(x) - g(x)h’(x)) / (h(x))²

For example, if f(x) = cos(x)/sin(x), then:

f’(x) = (-sin(x)sin(x) - cos(x)cos(x)) / sin²(x)

f’(x) = (-sin²(x) - cos²(x)) / sin²(x)

Using the Pythagorean identity, we can simplify this to:

f’(x) = -1 / sin²(x)

f’(x) = -csc²(x)

Chain Rule

The chain rule is used to differentiate composite functions. If you have a function f(x) = g(h(x)), then its derivative is given by:

f’(x) = g’(h(x)) * h’(x)

For example, if f(x) = cos(3x), then:

f’(x) = -sin(3x) * (3x)’

f’(x) = -sin(3x) * 3

f’(x) = -3sin(3x)

These advanced techniques allow for the differentiation of more complex trigonometric functions and are essential for solving a wide range of mathematical problems.

Differentiating trigonometric functions, including the cosine function, is a fundamental skill in calculus and trigonometry. Understanding how to differentiate 1 1 cosx, or more accurately, cos(x), involves applying the basic rules of differentiation and advanced techniques such as the product rule, quotient rule, and chain rule. This skill has numerous applications in fields such as physics, engineering, and computer science, making it an essential tool for anyone studying or working in these areas.

Related Terms:

  • d dx cos inverse x
  • cos inverse x y formula
  • differentiation of cos inverse x
  • differential of cos inverse x
  • d dx of cos 1x
  • derivative of cos 1x