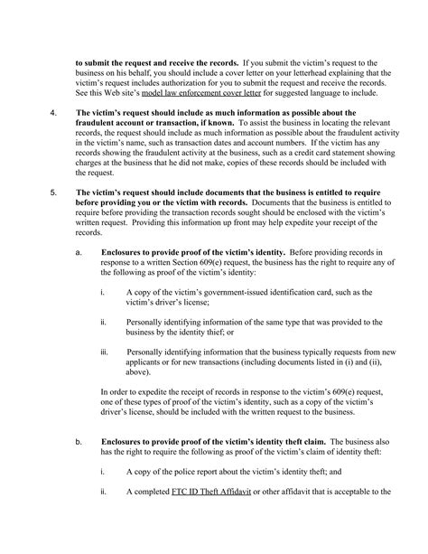
Fcra Section 605B

Fcra Section 605B

Understanding the intricacies of consumer protection laws is crucial for both businesses and consumers. One of the key regulations in this domain is the Fcra Section 605B, which plays a pivotal role in safeguarding consumer rights. This section of the Fair Credit Reporting Act (FCRA) specifically addresses the rights of consumers regarding their credit information and the responsibilities of credit reporting agencies. By delving into the details of Fcra Section 605B, we can gain a comprehensive understanding of how it impacts credit reporting and consumer rights.

What is Fcra Section 605B?

Fcra Section 605B is a critical component of the Fair Credit Reporting Act, which was enacted to promote the accuracy, fairness, and privacy of information in the files of consumer reporting agencies. This section focuses on the procedures that credit reporting agencies must follow when handling consumer disputes and correcting inaccurate information. It ensures that consumers have the right to challenge and correct any errors in their credit reports, thereby maintaining the integrity of their credit history.

Key Provisions of Fcra Section 605B

Fcra Section 605B outlines several key provisions that govern the handling of consumer disputes and the correction of inaccurate information. These provisions include:

  • Consumer Dispute Rights: Consumers have the right to dispute any information in their credit report that they believe is inaccurate, incomplete, or outdated.
  • Investigation Process: Credit reporting agencies are required to investigate disputes within a reasonable time frame, typically 30 days, and must notify the information provider of the dispute.
  • Correction of Errors: If the investigation reveals that the disputed information is indeed inaccurate, the credit reporting agency must correct the information and notify all parties that received the inaccurate information within the past six months.
  • Consumer Notification: Consumers must be notified of the results of the investigation and any corrections made to their credit report.

Importance of Fcra Section 605B for Consumers

For consumers, Fcra Section 605B is a powerful tool that ensures their credit information is accurate and up-to-date. Accurate credit reports are essential for various financial activities, including:

  • Loan Applications: Lenders rely on credit reports to assess the creditworthiness of applicants. Inaccurate information can lead to denied loan applications or higher interest rates.
  • Employment Opportunities: Some employers check credit reports as part of the hiring process. Inaccurate information can negatively impact job prospects.
  • Rental Agreements: Landlords often review credit reports to determine the reliability of potential tenants. Errors in credit reports can result in denied rental applications.

By ensuring that credit reporting agencies follow the procedures outlined in Fcra Section 605B, consumers can protect their financial well-being and maintain their credit standing.

Responsibilities of Credit Reporting Agencies

Credit reporting agencies play a crucial role in maintaining the accuracy and integrity of consumer credit information. Under Fcra Section 605B, these agencies have specific responsibilities, including:

  • Prompt Investigation: Agencies must investigate disputes promptly and thoroughly. This includes contacting the information provider to verify the accuracy of the disputed information.
  • Notification of Results: Agencies must notify consumers of the results of the investigation and any corrections made to their credit report.
  • Correction of Errors: If an error is found, the agency must correct the information and notify all parties that received the inaccurate information within the past six months.
  • Record Keeping: Agencies must maintain records of all disputes and the actions taken to resolve them. This ensures transparency and accountability in the dispute resolution process.

By adhering to these responsibilities, credit reporting agencies can uphold the standards set by Fcra Section 605B and ensure that consumers have accurate and reliable credit information.

Steps to Dispute Inaccurate Information

If you believe there is inaccurate information in your credit report, you can take the following steps to dispute it under Fcra Section 605B:

  1. Review Your Credit Report: Obtain a copy of your credit report from the major credit reporting agencies (Equifax, Experian, and TransUnion). Review it carefully for any errors or inaccuracies.
  2. Gather Evidence: Collect any documents or evidence that support your claim of inaccurate information. This can include bank statements, receipts, or correspondence that contradicts the information in your credit report.
  3. File a Dispute: Contact the credit reporting agency in writing to dispute the inaccurate information. Include your name, address, and a clear identification of the disputed information. Attach any supporting documents to your dispute letter.
  4. Wait for Investigation: The credit reporting agency will investigate your dispute and contact the information provider to verify the accuracy of the disputed information. This process typically takes 30 days.
  5. Review the Results: The credit reporting agency will notify you of the results of the investigation. If the disputed information is found to be inaccurate, it will be corrected, and you will receive an updated credit report.

📝 Note: It is important to keep records of all correspondence and documents related to your dispute. This will help you track the progress of your dispute and provide evidence if needed.

Common Issues Addressed by Fcra Section 605B

Fcra Section 605B addresses a variety of common issues that consumers may encounter with their credit reports. Some of these issues include:

  • Identity Theft: If your credit report contains information related to identity theft, you can dispute it under Fcra Section 605B. The credit reporting agency will investigate the disputed information and remove any fraudulent entries.
  • Incorrect Account Information: Errors in account information, such as incorrect balances or payment history, can be disputed and corrected under this section.
  • Outdated Information: Information that is outdated or no longer relevant can be disputed and removed from your credit report.
  • Mixed Credit Files: If your credit report contains information from another person's credit file, you can dispute it under Fcra Section 605B. The credit reporting agency will investigate and correct the error.

By addressing these common issues, Fcra Section 605B helps ensure that consumers have accurate and reliable credit information.

Impact on Credit Reporting Agencies

Fcra Section 605B has a significant impact on credit reporting agencies, as it imposes strict guidelines and responsibilities on how they handle consumer disputes. These agencies must:

  • Maintain Accurate Records: Agencies must ensure that the information in their databases is accurate and up-to-date. This includes regularly reviewing and updating consumer credit reports.
  • Implement Efficient Dispute Resolution Processes: Agencies must have efficient and effective processes in place to handle consumer disputes promptly and thoroughly.
  • Provide Transparent Communication: Agencies must communicate clearly and transparently with consumers throughout the dispute resolution process. This includes notifying consumers of the results of the investigation and any corrections made to their credit report.
  • Comply with Legal Requirements: Agencies must comply with all legal requirements and regulations set forth by Fcra Section 605B and other relevant laws. Failure to comply can result in legal consequences and penalties.

By adhering to these guidelines, credit reporting agencies can maintain the trust and confidence of consumers and ensure the accuracy and integrity of credit information.

Challenges and Limitations

While Fcra Section 605B provides important protections for consumers, there are also challenges and limitations to consider. Some of these include:

  • Complex Dispute Process: The dispute process can be complex and time-consuming, requiring consumers to gather evidence and navigate the dispute resolution process.
  • Limited Enforcement: Enforcement of Fcra Section 605B can be limited, as consumers may not be aware of their rights or may face difficulties in pursuing disputes.
  • Inconsistent Practices: There may be inconsistencies in how credit reporting agencies handle disputes, leading to varying outcomes for consumers.

Despite these challenges, Fcra Section 605B remains a crucial tool for protecting consumer rights and ensuring the accuracy of credit information.

Future of Fcra Section 605B

As consumer protection laws continue to evolve, Fcra Section 605B may undergo changes and updates to address emerging issues and challenges. Some potential areas for future development include:

  • Enhanced Dispute Resolution Processes: Improving the efficiency and effectiveness of dispute resolution processes to make it easier for consumers to challenge and correct inaccurate information.
  • Increased Transparency: Enhancing transparency in credit reporting practices to ensure that consumers have a clear understanding of their rights and the dispute resolution process.
  • Stronger Enforcement: Strengthening enforcement mechanisms to ensure that credit reporting agencies comply with the requirements of Fcra Section 605B and other relevant laws.

By addressing these areas, Fcra Section 605B can continue to play a vital role in protecting consumer rights and ensuring the accuracy of credit information.

In conclusion, Fcra Section 605B is a cornerstone of consumer protection laws, providing essential safeguards for consumers and imposing important responsibilities on credit reporting agencies. By understanding the key provisions and processes outlined in this section, consumers can protect their credit information and ensure that it remains accurate and reliable. Credit reporting agencies, in turn, must adhere to the guidelines set forth by Fcra Section 605B to maintain the trust and confidence of consumers. As consumer protection laws continue to evolve, Fcra Section 605B will remain a crucial tool for safeguarding consumer rights and promoting the accuracy and integrity of credit information.

Related Terms:

  • fcra section 605b dispute letter
  • fcra section 605b 1681c 2
  • 605b dispute letter sample pdf
  • fcra 605b dispute letter
  • fcra section 605b pdf
  • 605b data breach