Separable Differential Equations

Separable Differential Equations

Differential equations are fundamental tools in mathematics and science, used to model a wide range of phenomena from population dynamics to electrical circuits. Among the various types of differential equations, separable differential equations hold a special place due to their relative simplicity and wide applicability. This post will delve into the intricacies of separable differential equations, providing a comprehensive guide to understanding, solving, and applying these equations.

Understanding Separable Differential Equations

Separable differential equations are a class of first-order differential equations where the variables can be separated, allowing for easier integration. The general form of a separable differential equation is:

dy/dx = f(x)g(y)

Here, f(x) is a function of x only, and g(y) is a function of y only. The key idea is to rewrite the equation so that all terms involving y are on one side and all terms involving x are on the other side. This separation allows for integration on both sides, leading to a solution.

Solving Separable Differential Equations

To solve a separable differential equation, follow these steps:

  1. Rewrite the equation in the form dy/dx = f(x)g(y).
  2. Separate the variables by moving all terms involving y to one side and all terms involving x to the other side.
  3. Integrate both sides with respect to their respective variables.
  4. Solve for the constant of integration.
  5. Substitute back to find the solution in terms of x and y.

Let's go through an example to illustrate these steps.

Example: Solving a Basic Separable Differential Equation

Consider the differential equation:

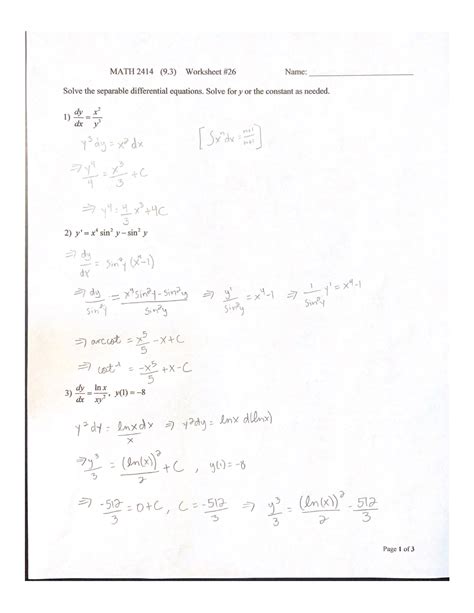
dy/dx = (x^2) / (y^3)

Step 1: The equation is already in the form dy/dx = f(x)g(y).

Step 2: Separate the variables:

y^3 dy = x^2 dx

Step 3: Integrate both sides:

∫y^3 dy = ∫x^2 dx

This gives:

(y^4)/4 = (x^3)/3 + C

Step 4: Solve for the constant of integration C.

Step 5: Substitute back to find the solution:

y^4 = (4/3)x^3 + 4C

Taking the fourth root of both sides, we get:

y = [(4/3)x^3 + 4C]^(1/4)

💡 Note: The constant of integration C can be determined using initial conditions if provided.

Applications of Separable Differential Equations

Separable differential equations have numerous applications across various fields. Some of the key areas include:

  • Population Dynamics: Modeling the growth or decline of populations over time.
  • Chemical Reactions: Describing the rates of chemical reactions and the concentrations of reactants and products.
  • Physics: Analyzing the motion of objects under various forces, such as gravity or friction.
  • Economics: Studying the dynamics of supply and demand, as well as economic growth models.

Example: Population Growth Model

One classic example is the logistic growth model, which describes how a population grows over time with limited resources. The differential equation for logistic growth is:

dP/dt = rP(1 - P/K)

Where:

  • P is the population size.
  • r is the growth rate.
  • K is the carrying capacity of the environment.

To solve this, separate the variables:

dP/P(1 - P/K) = r dt

Integrate both sides:

∫[1/P + 1/(K-P)] dP = ∫r dt

This results in:

ln|P/(K-P)| = rt + C

Exponentiating both sides and solving for P, we get:

P(t) = K / (1 + Ce^(-rt))

Where C is determined by the initial population size.

💡 Note: The logistic growth model is widely used in ecology and biology to understand population dynamics in the presence of limited resources.

Advanced Techniques and Considerations

While the basic method of separation of variables is straightforward, there are advanced techniques and considerations that can enhance the understanding and application of separable differential equations.

Implicit Solutions

Sometimes, the solution to a separable differential equation may be implicit rather than explicit. This means that the solution is expressed in a form where y is not isolated on one side of the equation. For example:

x^2 + y^2 = C

This represents a circle, and while it is not explicit in terms of y, it is still a valid solution.

Special Cases and Singular Solutions

In some cases, separable differential equations may have singular solutions, which are solutions that cannot be obtained from the general solution by varying the constant of integration. These solutions often correspond to specific initial conditions or boundary conditions.

For example, consider the differential equation:

dy/dx = (y^2 - 1) / x

Separating variables and integrating, we get:

ln|(y-1)/(y+1)| = ln|x| + C

This can be rewritten as:

(y-1)/(y+1) = Cx

Solving for y, we get:

y = (1 + Cx) / (1 - Cx)

However, y = 1 is also a solution, which is a singular solution not obtained from the general solution.

💡 Note: Singular solutions are important in applications where specific conditions lead to unique behaviors not captured by the general solution.

Numerical Methods for Separable Differential Equations

While analytical solutions are preferred for their exactness, numerical methods are often necessary for more complex or non-separable differential equations. For separable differential equations, numerical methods can still be useful, especially when dealing with initial value problems or when an explicit solution is difficult to obtain.

Euler's Method

Euler's method is a simple numerical technique for solving differential equations. It involves discretizing the equation and approximating the solution step by step. For a separable differential equation dy/dx = f(x)g(y), Euler's method can be applied as follows:

  1. Choose a step size h.
  2. Start with an initial condition (x0, y0).
  3. Update the solution using the formula:

    y_(n+1) = y_n + h * f(x_n) * g(y_n)

    Where x_(n+1) = x_n + h.

  4. Repeat the process for the desired number of steps.

While Euler's method is straightforward, it can be inaccurate for large step sizes or over long intervals. More advanced methods, such as the Runge-Kutta method, provide better accuracy but are more computationally intensive.

💡 Note: Numerical methods are essential for solving differential equations that do not have analytical solutions or for verifying the accuracy of analytical solutions.

Conclusion

Separable differential equations are a cornerstone of differential equations theory, offering a straightforward approach to solving a wide range of problems. By understanding the principles of separation of variables and applying them to various scenarios, one can model and analyze numerous phenomena in science, engineering, and economics. Whether through analytical methods or numerical techniques, separable differential equations provide valuable insights and solutions to complex problems. The key is to recognize when a differential equation is separable and to apply the appropriate techniques to find the solution. This understanding not only enhances problem-solving skills but also deepens the appreciation for the elegance and power of differential equations in mathematics and science.

Related Terms:

  • separable differential equation pdf
  • separable differential equation worksheet
  • separable differential equation definition
  • example of separable differential equation
  • variable separable calculator
  • separable differential equations calculator