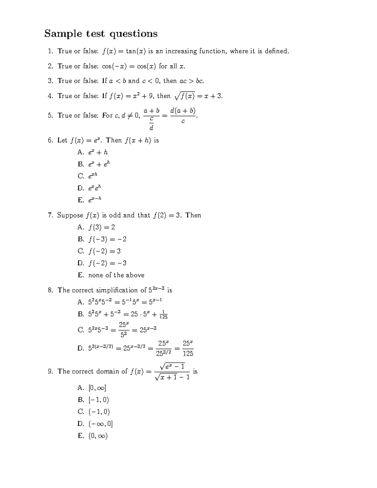
Sample Test Questions for Math 101: True/False & Graphing - Studocu
Learning

Sample Test Questions for Math 101: True/False & Graphing - Studocu

1200 × 1553 px December 23, 2025 Ashley Learning

Mastering trigonometry is a crucial step for students aiming to excel in mathematics and related fields. One of the most effective ways to solidify understanding and improve problem-solving skills is through consistent practice. This blog post will guide you through various Trig Practice Problems, providing insights, tips, and examples to help you become proficient in trigonometry.

Understanding the Basics of Trigonometry

Before diving into Trig Practice Problems, it’s essential to grasp the fundamental concepts of trigonometry. Trigonometry deals with the relationships between the sides and angles of triangles. The three primary trigonometric functions are sine (sin), cosine (cos), and tangent (tan). These functions are defined as follows:

  • Sine (sin): The ratio of the opposite side to the hypotenuse in a right-angled triangle.
  • Cosine (cos): The ratio of the adjacent side to the hypotenuse in a right-angled triangle.
  • Tangent (tan): The ratio of the opposite side to the adjacent side in a right-angled triangle.

Common Trigonometric Identities

Trigonometric identities are equations that are true for all values of the variables involved. Familiarizing yourself with these identities is crucial for solving Trig Practice Problems. Some of the most commonly used identities include:

  • Pythagorean Identity: sin²(θ) + cos²(θ) = 1
  • Reciprocal Identities: csc(θ) = 1/sin(θ), sec(θ) = 1/cos(θ), cot(θ) = 1/tan(θ)
  • Quotient Identities: tan(θ) = sin(θ)/cos(θ), cot(θ) = cos(θ)/sin(θ)
  • Co-function Identities: sin(90° - θ) = cos(θ), cos(90° - θ) = sin(θ)

Solving Basic Trig Practice Problems

Let’s start with some basic Trig Practice Problems to get you comfortable with the fundamentals. These problems will involve finding the values of trigonometric functions for given angles.

Example 1: Find the value of sin(30°).

Solution: The value of sin(30°) is a well-known trigonometric constant. sin(30°) = 1/2.

Example 2: Find the value of cos(60°).

Solution: The value of cos(60°) is another well-known trigonometric constant. cos(60°) = 1/2.

Example 3: Find the value of tan(45°).

Solution: The value of tan(45°) is also a well-known trigonometric constant. tan(45°) = 1.

💡 Note: Memorizing these basic trigonometric values can save you time and effort when solving more complex problems.

Advanced Trig Practice Problems

Once you are comfortable with the basics, you can move on to more advanced Trig Practice Problems. These problems may involve using trigonometric identities, solving for unknown angles, or applying trigonometry to real-world scenarios.

Example 4: Solve for θ in the equation sin(θ) = 0.5.

Solution: To solve for θ, we need to find the angles whose sine is 0.5. The solutions are θ = 30° and θ = 150° (since sine is positive in the first and second quadrants).

Example 5: Solve for θ in the equation cos(θ) = -0.707.

Solution: To solve for θ, we need to find the angles whose cosine is -0.707. The solutions are θ = 135° and θ = 225° (since cosine is negative in the second and third quadrants).

Example 6: Solve for θ in the equation tan(θ) = √3.

Solution: To solve for θ, we need to find the angles whose tangent is √3. The solutions are θ = 60° and θ = 240° (since tangent is positive in the first and third quadrants).

💡 Note: When solving for θ, always consider the quadrant in which the angle lies, as trigonometric functions have different signs in different quadrants.

Applying Trigonometry to Real-World Problems

Trigonometry has numerous applications in real-world scenarios, from architecture and engineering to physics and astronomy. Solving Trig Practice Problems that mimic real-world situations can help you understand the practical aspects of trigonometry.

Example 7: A ladder leans against a wall at an angle of 75° with the ground. If the ladder is 10 meters long, how high up the wall does it reach?

Solution: To solve this problem, we can use the sine function. The height (h) up the wall can be found using the formula h = sin(75°) * 10. Using a calculator, we find that sin(75°) ≈ 0.9659. Therefore, h ≈ 0.9659 * 10 = 9.659 meters.

Example 8: A surveyor measures the angle of elevation to the top of a building as 40°. If the surveyor is 50 meters away from the base of the building, how tall is the building?

Solution: To solve this problem, we can use the tangent function. The height (h) of the building can be found using the formula h = tan(40°) * 50. Using a calculator, we find that tan(40°) ≈ 0.8391. Therefore, h ≈ 0.8391 * 50 = 41.955 meters.

Example 9: A ship sails 20 kilometers east and then 30 kilometers north. What is the straight-line distance from the starting point to the final position?

Solution: To solve this problem, we can use the Pythagorean theorem, which is closely related to trigonometry. The straight-line distance (d) can be found using the formula d = √(20² + 30²). Therefore, d = √(400 + 900) = √1300 ≈ 36.055 kilometers.

💡 Note: Real-world problems often require a combination of trigonometric and geometric principles to solve effectively.

Using Trigonometric Identities to Simplify Expressions

Trigonometric identities can be used to simplify complex expressions and solve Trig Practice Problems more efficiently. Let’s look at some examples of how to use these identities.

Example 10: Simplify the expression sin(θ)cos(θ).

Solution: We can use the double-angle identity for sine, which states sin(2θ) = 2sin(θ)cos(θ). Rearranging this identity, we get sin(θ)cos(θ) = sin(2θ)/2.

Example 11: Simplify the expression (1 + tan²(θ)) / (1 + cot²(θ)).

Solution: We can use the Pythagorean identity tan²(θ) + 1 = sec²(θ) and the reciprocal identity cot(θ) = 1/tan(θ). Substituting these into the expression, we get (sec²(θ)) / (1 + 1/tan²(θ)). Simplifying further, we get sec²(θ) / (1 + cot²(θ)) = sec²(θ) / csc²(θ) = tan²(θ).

Example 12: Simplify the expression sin(θ + 45°).

Solution: We can use the sum of angles identity for sine, which states sin(α + β) = sin(α)cos(β) + cos(α)sin(β). Substituting α = θ and β = 45°, we get sin(θ + 45°) = sin(θ)cos(45°) + cos(θ)sin(45°). Since cos(45°) = sin(45°) = √2/2, we get sin(θ + 45°) = (√2/2)(sin(θ) + cos(θ)).

💡 Note: Familiarizing yourself with trigonometric identities can significantly simplify the process of solving complex Trig Practice Problems.

Practice Problems for Mastery

To truly master trigonometry, consistent practice is essential. Here are some additional Trig Practice Problems to help you solidify your understanding and improve your problem-solving skills.

Problem 1: Find the value of cos(120°).

Problem 2: Solve for θ in the equation tan(θ) = -1.

Problem 3: Simplify the expression (sin²(θ) + cos²(θ)) / (sin²(θ) - cos²(θ)).

Problem 4: A plane flies 150 kilometers north and then 200 kilometers east. What is the straight-line distance from the starting point to the final position?

Problem 5: A building casts a shadow that is 30 meters long. If the angle of elevation of the sun is 35°, how tall is the building?

To check your answers, you can use a calculator or refer to trigonometric tables. Remember, the key to mastering trigonometry is consistent practice and a solid understanding of the fundamental concepts and identities.

Here is a table summarizing some of the key trigonometric values and identities:

Trigonometric Function Value
sin(30°) 1/2
cos(60°) 1/2
tan(45°) 1
sin(90° - θ) cos(θ)
cos(90° - θ) sin(θ)
sin²(θ) + cos²(θ) 1

By practicing these Trig Practice Problems and reviewing the key concepts and identities, you will be well on your way to mastering trigonometry. Keep practicing, and don't hesitate to seek help if you encounter difficulties. With dedication and persistence, you can overcome any challenges and excel in trigonometry.

Trigonometry is a powerful tool with numerous applications in various fields. By mastering the fundamentals and practicing consistently, you will develop a strong foundation in trigonometry that will serve you well in your academic and professional pursuits. Whether you are solving basic problems or tackling complex real-world scenarios, a solid understanding of trigonometry will be invaluable.

Related Terms:

  • trig word problems worksheet
  • unit circle trig practice problems
  • give me a trigonometry problem
  • solve trig equations worksheet
  • sample trigonometry problems with solutions
  • problem solving with trigonometry

More Images