Tympanogram As Type

Tympanogram As Type

In the realm of medical diagnostics, the Tympanogram As Type has emerged as a crucial tool for evaluating middle ear function. This non-invasive procedure measures the mobility of the eardrum and the conduction bones, providing valuable insights into the health of the middle ear. Understanding the different types of tympanograms is essential for healthcare professionals to accurately diagnose and treat various ear conditions.

Understanding Tympanograms

A tympanogram is a graphical representation of the compliance of the tympanic membrane (eardrum) in response to changes in air pressure within the ear canal. The test is performed using a device called a tympanometer, which generates a tone and varies the air pressure in the ear canal. The resulting graph, or tympanogram, helps identify the type and severity of middle ear disorders.

Types of Tympanograms

Tympanograms are classified into three main types based on their shape and characteristics. Each type provides different information about the condition of the middle ear.

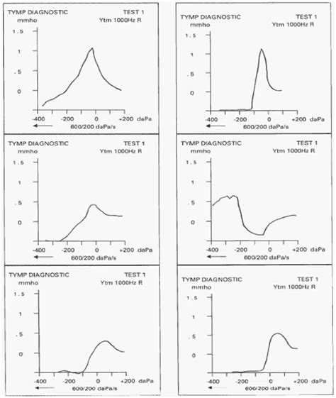
Type A Tympanogram

A Type A tympanogram is considered normal. It indicates that the eardrum and the ossicles (the tiny bones in the middle ear) are functioning properly. The graph shows a peak at atmospheric pressure, indicating normal compliance and mobility of the eardrum.

Type B Tympanogram

A Type B tympanogram is characterized by a flat line with no peak. This type indicates that there is no mobility of the eardrum, which can be due to fluid in the middle ear, a perforated eardrum, or other conditions that affect the eardrum’s ability to move. This type is often associated with middle ear infections or otitis media.

Type C Tympanogram

A Type C tympanogram shows a peak that is shifted to the negative pressure side. This indicates that there is negative pressure in the middle ear, which can be caused by Eustachian tube dysfunction. The Eustachian tube helps regulate pressure in the middle ear, and when it is not functioning properly, it can lead to a Type C tympanogram.

Interpreting Tympanograms

Interpreting tympanograms requires a thorough understanding of the graph’s characteristics. Here are some key points to consider:

  • Peak Pressure: The pressure at which the peak occurs. A peak at atmospheric pressure (0 daPa) is normal, while a peak at negative pressure indicates Eustachian tube dysfunction.
  • Compliance: The height of the peak indicates the compliance of the eardrum. Normal compliance is between 0.3 and 1.5 mL.
  • Shape: The shape of the graph provides information about the mobility of the eardrum. A flat line indicates no mobility, while a peaked line indicates normal or abnormal mobility.

Clinical Applications of Tympanograms

Tympanograms are used in various clinical settings to diagnose and monitor middle ear conditions. Some of the most common applications include:

  • Diagnosis of Otitis Media: Tympanograms are essential for diagnosing middle ear infections, particularly in children. A Type B tympanogram is often seen in cases of otitis media with effusion.
  • Evaluation of Eustachian Tube Function: A Type C tympanogram can indicate Eustachian tube dysfunction, which is important for diagnosing conditions like barotrauma and sinusitis.
  • Monitoring Treatment Progress: Tympanograms can be used to monitor the progress of treatment for middle ear conditions. For example, a follow-up tympanogram can show whether fluid has cleared from the middle ear after treatment.
  • Preoperative Assessment: Before certain surgeries, such as tympanoplasty or stapedectomy, a tympanogram can provide valuable information about the condition of the middle ear.

Factors Affecting Tympanogram Results

Several factors can affect the results of a tympanogram, and it is important for healthcare professionals to be aware of these variables. Some of the key factors include:

  • Age: The compliance of the eardrum can vary with age. Children typically have higher compliance than adults.
  • Ear Canal Obstruction: Wax or other obstructions in the ear canal can affect the accuracy of the tympanogram.
  • Middle Ear Fluid: The presence of fluid in the middle ear can significantly alter the tympanogram results.
  • Eustachian Tube Function: Dysfunction of the Eustachian tube can lead to abnormal tympanogram results.

Tympanogram As Type

The concept of Tympanogram As Type refers to the classification of tympanograms into distinct categories based on their characteristics. This classification system is crucial for standardizing the interpretation of tympanograms and ensuring consistent diagnostic outcomes. By categorizing tympanograms into Type A, Type B, and Type C, healthcare professionals can quickly identify the type of middle ear condition present and take appropriate action.

Here is a summary of the different types of tympanograms:

Type Characteristics Possible Causes
Type A Peak at atmospheric pressure, normal compliance Normal middle ear function
Type B Flat line, no peak Fluid in the middle ear, perforated eardrum, other conditions affecting eardrum mobility
Type C Peak shifted to negative pressure Eustachian tube dysfunction

📝 Note: It is important to note that while tympanograms provide valuable information, they should be used in conjunction with other diagnostic tools and clinical assessments for a comprehensive evaluation of middle ear function.

Tympanograms are a valuable tool in the diagnosis and management of middle ear conditions. By understanding the different types of tympanograms and their clinical implications, healthcare professionals can provide more accurate diagnoses and effective treatments for their patients. The Tympanogram As Type classification system plays a crucial role in standardizing the interpretation of tympanograms, ensuring consistent and reliable diagnostic outcomes.

In conclusion, the Tympanogram As Type is an essential component of middle ear diagnostics. By categorizing tympanograms into distinct types, healthcare professionals can quickly identify and address various middle ear conditions. This classification system, along with other diagnostic tools, helps ensure accurate diagnoses and effective treatments, ultimately improving patient outcomes. The importance of tympanograms in clinical practice cannot be overstated, as they provide valuable insights into the health of the middle ear and guide appropriate medical interventions.

Related Terms:

  • causes of type as tympanogram
  • type as tympanogram interpretation
  • what is type b tympanometry
  • tympanogram type a meaning
  • type a tympanogram means
  • tympanogram types and causes