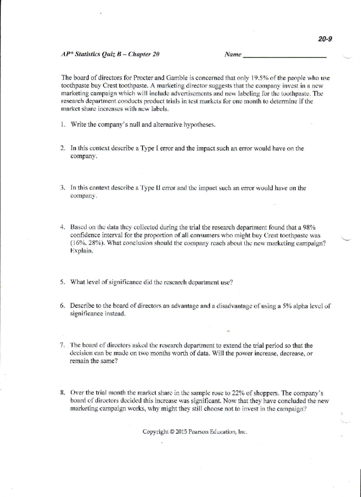
Ch 20 Quiz B - Marketing Campaign Analysis for Crest Toothpaste - Studocu
Learning

Ch 20 Quiz B - Marketing Campaign Analysis for Crest Toothpaste - Studocu

1200 × 1648 px December 1, 2025 Ashley Learning

Preparing for the AP Statistics Exam 2025 can be a daunting task, but with the right strategies and resources, you can achieve a high score. This guide will walk you through the essential steps to excel in your AP Statistics Exam preparation, from understanding the exam format to mastering key concepts and effective study techniques.

Understanding the AP Statistics Exam 2025 Format

The AP Statistics Exam 2025 is designed to test your understanding of statistical concepts and your ability to apply them to real-world problems. The exam consists of two main sections:

  • Section I: Multiple Choice - This section includes 40 multiple-choice questions that you must complete in 90 minutes. It covers a wide range of topics, including exploratory data analysis, planning a study, probability, statistical inference, and more.
  • Section II: Free Response - This section includes 6 free-response questions that you must complete in 90 minutes. These questions require you to demonstrate your ability to analyze data, interpret results, and communicate your findings effectively.

Key Concepts to Master for the AP Statistics Exam 2025

To excel in the AP Statistics Exam 2025, you need to have a solid understanding of the following key concepts:

  • Exploratory Data Analysis - This includes summarizing and visualizing data using graphs, charts, and summary statistics.
  • Planning a Study - Understanding how to design experiments and surveys to collect data effectively.
  • Probability - Calculating probabilities, understanding distributions, and applying probability rules.
  • Statistical Inference - Making inferences about populations based on sample data, including hypothesis testing and confidence intervals.

Effective Study Techniques for the AP Statistics Exam 2025

Effective study techniques are crucial for mastering the material and performing well on the AP Statistics Exam 2025. Here are some strategies to help you prepare:

  • Create a Study Schedule - Develop a study schedule that covers all the key concepts and allows for regular review sessions. Allocate more time to areas where you struggle.
  • Practice with Past Exams - Use past AP Statistics Exam questions to familiarize yourself with the format and types of questions. This will also help you identify areas where you need more practice.
  • Use Study Guides and Resources - Utilize study guides, textbooks, and online resources to reinforce your understanding of key concepts. Websites like Khan Academy and YouTube offer free tutorials and practice problems.
  • Join a Study Group - Collaborating with peers can enhance your learning experience. Discussing problems and solutions with others can provide new insights and perspectives.

Practice Problems and Sample Questions

Practicing with sample questions is one of the most effective ways to prepare for the AP Statistics Exam 2025. Here are some sample questions to help you get started:

Question Type Sample Question
Multiple Choice If a fair coin is tossed three times, what is the probability of getting exactly two heads?
Free Response Describe the steps involved in conducting a hypothesis test for the mean of a population. Include the null and alternative hypotheses, the test statistic, and the decision rule.

📝 Note: Regular practice with a variety of questions will help you build confidence and improve your problem-solving skills.

Tips for the Exam Day

On the day of the AP Statistics Exam 2025, it's important to stay calm and focused. Here are some tips to help you perform your best:

  • Get a Good Night's Sleep - Ensure you get enough rest the night before the exam to be alert and focused.
  • Arrive Early - Plan to arrive at the exam location at least 15 minutes early to avoid any last-minute stress.
  • Read Instructions Carefully - Take your time to read and understand the instructions for each section before starting.
  • Manage Your Time - Keep an eye on the clock and allocate your time wisely. Don't spend too much time on any single question.
  • Stay Calm - If you encounter a difficult question, take a deep breath and move on. You can always come back to it later.

Preparing for the AP Statistics Exam 2025 requires dedication, practice, and a solid understanding of key concepts. By following the strategies and tips outlined in this guide, you can enhance your preparation and increase your chances of achieving a high score. Good luck!

AP Statistics Exam 2025

Remember, the key to success is consistent effort and a positive mindset. Stay focused on your goals and believe in your ability to excel. With the right preparation, you can conquer the AP Statistics Exam 2025 and achieve your academic aspirations.

Related Terms:

  • ap statistics exam date 2025
  • ap statistics exam pdf
  • 2025 ap lang test date
  • ap statistics full exam pdf
  • ap precalculus exam date 2025
  • 2025 ap psychology exam date

More Images