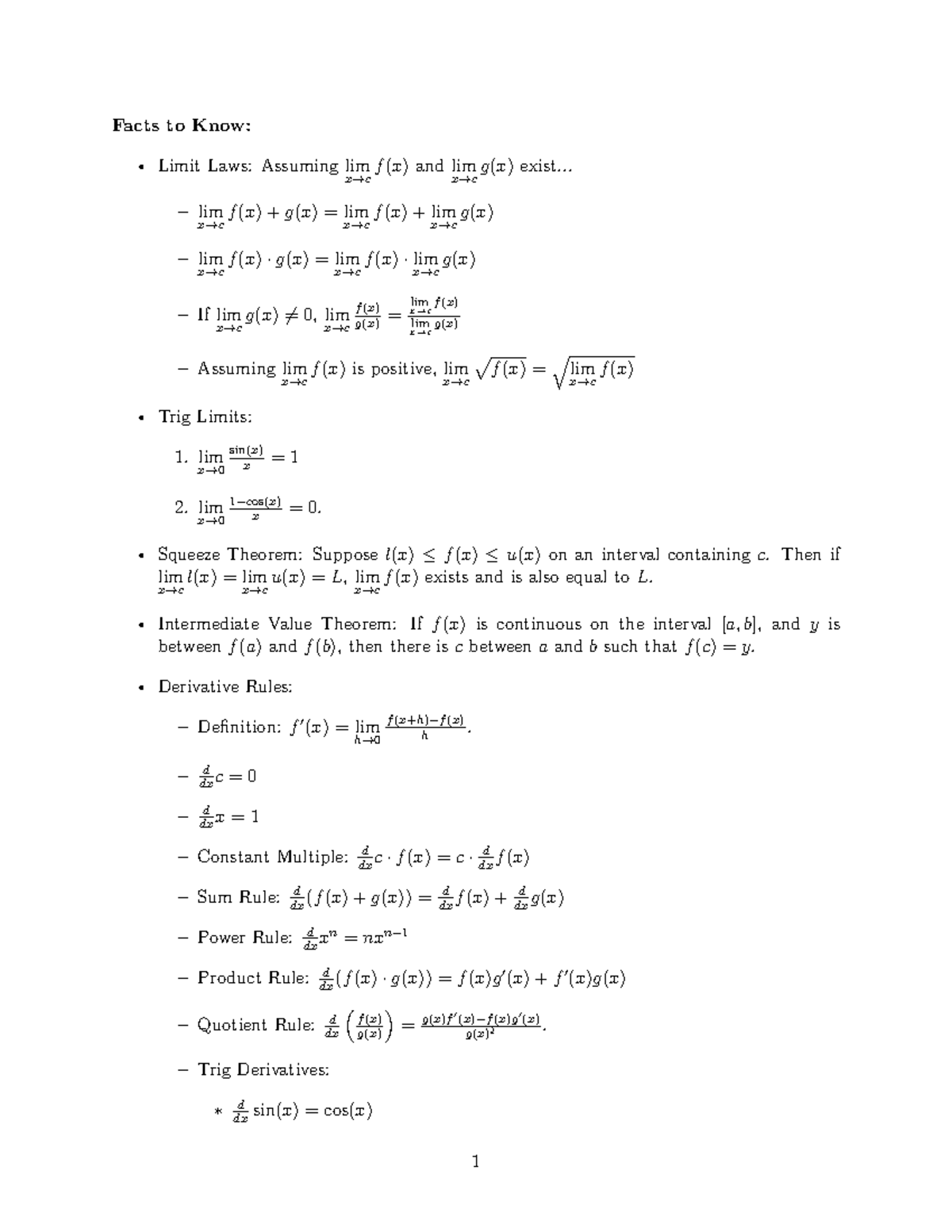
Midterm 1 Study Problems: Limit Laws and Derivative Rules - Studocu
Learning

Midterm 1 Study Problems: Limit Laws and Derivative Rules - Studocu

1200 × 1553 px January 13, 2025 Ashley Learning

Mastering calculus, particularly the concept of derivatives, is a fundamental skill for students in mathematics, physics, engineering, and many other fields. Derivative practice problems are essential for reinforcing understanding and building proficiency in this critical area. This post will guide you through various types of derivative practice problems, providing step-by-step solutions and tips to help you excel in your studies.

Understanding Derivatives

Before diving into derivative practice problems, it’s crucial to understand what derivatives are and why they are important. A derivative represents the rate at which a function changes at a specific point. It is the foundation of differential calculus and has numerous applications in real-world scenarios, such as determining the velocity of an object from its position function or finding the slope of a tangent line to a curve.

Basic Derivative Practice Problems

Let’s start with some basic derivative practice problems to build a solid foundation. These problems involve finding the derivatives of simple functions.

Example 1: Polynomial Functions

Find the derivative of the function f(x) = 3x2 + 2x + 1.

To find the derivative, we apply the power rule, which states that if f(x) = axn, then f’(x) = anxn-1.

Applying the power rule to each term:

  • f(x) = 3x2 becomes f’(x) = 6x
  • f(x) = 2x becomes f’(x) = 2
  • f(x) = 1 becomes f’(x) = 0

Therefore, the derivative of f(x) = 3x2 + 2x + 1 is f’(x) = 6x + 2.

Example 2: Exponential Functions

Find the derivative of the function f(x) = ex.

The derivative of the exponential function ex is itself, ex. Therefore, the derivative of f(x) = ex is f’(x) = ex.

💡 Note: The exponential function ex is unique because its derivative is the function itself.

Intermediate Derivative Practice Problems

As you become more comfortable with basic derivatives, you can move on to intermediate problems that involve more complex functions and additional rules.

Example 3: Product Rule

The product rule states that if f(x) = u(x)v(x), then f’(x) = u’(x)v(x) + u(x)v’(x). Find the derivative of f(x) = x2sin(x).

Let u(x) = x2 and v(x) = sin(x). Then:

  • u’(x) = 2x
  • v’(x) = cos(x)

Applying the product rule:

f’(x) = u’(x)v(x) + u(x)v’(x) = 2xsin(x) + x2cos(x)

Example 4: Quotient Rule

The quotient rule states that if f(x) = u(x)/v(x), then f’(x) = [u’(x)v(x) - u(x)v’(x)] / [v(x)]2. Find the derivative of f(x) = x2/sin(x).

Let u(x) = x2 and v(x) = sin(x). Then:

  • u’(x) = 2x
  • v’(x) = cos(x)

Applying the quotient rule:

f’(x) = [u’(x)v(x) - u(x)v’(x)] / [v(x)]2 = [(2x)sin(x) - (x2)cos(x)] / sin2(x)

Advanced Derivative Practice Problems

Advanced derivative practice problems involve more complex functions and may require the use of multiple rules and techniques. These problems are essential for building a deep understanding of calculus.

Example 5: Chain Rule

The chain rule states that if f(x) = g(h(x)), then f’(x) = g’(h(x))h’(x). Find the derivative of f(x) = (x2 + 1)3.

Let g(u) = u3 and h(x) = x2 + 1. Then:

  • g’(u) = 3u2
  • h’(x) = 2x

Applying the chain rule:

f’(x) = g’(h(x))h’(x) = 3(x2 + 1)2(2x) = 6x(x2 + 1)2

Example 6: Implicit Differentiation

Implicit differentiation is used when the function is not explicitly defined as y = f(x). Find the derivative of x2 + y2 = 1.

Differentiate both sides with respect to x:

2x + 2yy’ = 0

Solving for y’:

y’ = -x/y

💡 Note: Implicit differentiation is particularly useful for finding the slopes of tangent lines to curves defined implicitly.

Applications of Derivatives

Derivatives have numerous applications in various fields. Understanding how to solve derivative practice problems is crucial for applying these concepts in real-world scenarios.

Related rates problems involve finding the rate of change of one quantity in terms of the rate of change of another quantity. A classic example is finding the rate at which water is flowing out of a tank.

Suppose water is flowing out of a conical tank at a rate of 5 cubic meters per minute. The tank has a height of 10 meters and a radius of 5 meters at the top. Find the rate at which the water level is decreasing when the water is 6 meters deep.

Let V be the volume of water, h be the height of the water, and r be the radius of the water surface. The volume of a cone is given by V = (13)πr2h. The radius and height are related by the similarity of triangles: r/h = 510, so r = (12)h.

Substituting r into the volume formula:

V = (13)π((12)h)2h = (112)πh3

Differentiating with respect to time t:

dV/dt = (14)πh2dh/dt

Given dV/dt = -5 (negative because the volume is decreasing) and h = 6:

-5 = (14)π(6)2dh/dt

Solving for dh/dt:

dh/dt = -5 / [(14)π(36)] = -5 / (9π)

Therefore, the water level is decreasing at a rate of 5 / (9π) meters per minute.

Example 8: Optimization Problems

Optimization problems involve finding the maximum or minimum value of a function. Derivatives are used to determine the critical points where these values occur.

Find the dimensions of a rectangular box with a volume of 1000 cubic centimeters that has the minimum surface area.

Let x, y, and z be the dimensions of the box. The volume is given by xyz = 1000, and the surface area is given by S = 2(xy + yz + zx).

To minimize the surface area, we need to express S in terms of one variable. Using the volume constraint, we can express z as z = 1000/(xy).

Substituting z into the surface area formula:

S = 2(xy + y(1000/(xy)) + x(1000/(xy))) = 2(xy + 1000/x + 1000/y)

To find the minimum surface area, we take the partial derivatives with respect to x and y and set them to zero:

∂S/∂x = 2(y - 1000/x2) = 0

∂S/∂y = 2(x - 1000/y2) = 0

Solving these equations, we find that x = y = 10 and z = 10. Therefore, the box with the minimum surface area is a cube with dimensions 10 cm by 10 cm by 10 cm.

Tips for Solving Derivative Practice Problems

Solving derivative practice problems effectively requires a combination of understanding, practice, and strategy. Here are some tips to help you excel:

  • Understand the Basics: Ensure you have a solid grasp of the fundamental rules of differentiation, such as the power rule, product rule, quotient rule, and chain rule.
  • Practice Regularly: Consistent practice is key to mastering derivatives. Work on a variety of problems to build your skills and confidence.
  • Break Down Complex Problems: For complex problems, break them down into simpler parts and solve each part step by step.
  • Check Your Work: Always double-check your solutions to ensure accuracy. Mistakes are common, especially in the early stages of learning.
  • Use Technology Wisely: While calculators and software can be helpful, rely on them sparingly. Focus on understanding the concepts and solving problems manually.

Common Mistakes to Avoid

When solving derivative practice problems, it’s easy to make mistakes. Here are some common pitfalls to avoid:

  • Incorrect Application of Rules: Ensure you apply the correct differentiation rules for each type of function.
  • Forgetting Constants: Remember that the derivative of a constant is zero, but constants in front of functions must be accounted for.
  • Ignoring Chain Rule: For composite functions, always apply the chain rule correctly.
  • Misinterpreting Implicit Differentiation: When using implicit differentiation, be careful with the differentiation of terms involving y.

💡 Note: Reviewing your mistakes and understanding why they occurred is crucial for improving your skills.

Conclusion

Derivative practice problems are essential for mastering calculus and applying it to real-world scenarios. By understanding the basic rules, practicing regularly, and applying strategies effectively, you can build a strong foundation in derivatives. Whether you’re solving basic polynomial functions or tackling complex optimization problems, the key is to approach each problem with a clear understanding and a systematic approach. With dedication and practice, you’ll become proficient in solving derivative practice problems and be well-prepared for more advanced topics in calculus.

Related Terms:

  • hard derivative practice problems
  • hard derivative problems
  • trig derivative practice problems
  • definition of derivative practice problems
  • partial derivative practice problems
  • derivative rules worksheet pdf

More Images