24. 23.06.2021, PG Physics, Semester I, Quantum Mechanics, Time ...
Learning

24. 23.06.2021, PG Physics, Semester I, Quantum Mechanics, Time ...

1200 × 1698 px February 2, 2026 Ashley Learning

Perturbation Theory Quantum is a fundamental concept in quantum mechanics that allows physicists to approximate the behavior of quantum systems that are difficult to solve exactly. This theory is particularly useful when dealing with systems that are close to a simpler, exactly solvable system. By introducing a small perturbation to the simpler system, one can calculate the corrections to the energy levels and wavefunctions, providing a more accurate description of the system's behavior.

Understanding Perturbation Theory Quantum

Perturbation Theory Quantum is based on the idea that if a system's Hamiltonian (the operator corresponding to the total energy) can be written as the sum of a solvable part and a small perturbation, then the solutions to the perturbed system can be approximated using the solutions of the unperturbed system. The Hamiltonian is typically written as:

H = H0 + λV

where H0 is the unperturbed Hamiltonian, V is the perturbation, and λ is a small parameter that controls the strength of the perturbation. The solutions to the unperturbed system are known, and the goal is to find the corrections to these solutions due to the perturbation.

Types of Perturbation Theory Quantum

There are two main types of perturbation theory in quantum mechanics: non-degenerate perturbation theory and degenerate perturbation theory.

Non-Degenerate Perturbation Theory

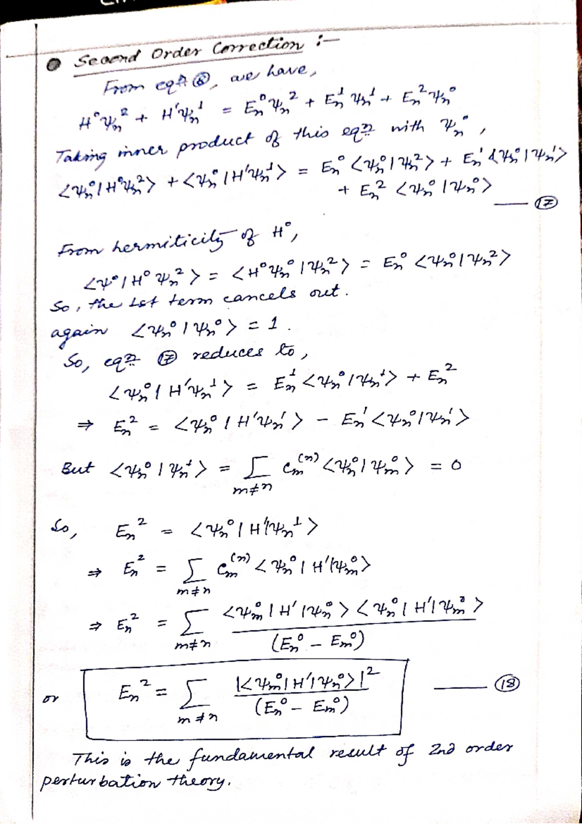
Non-degenerate perturbation theory is used when the unperturbed energy levels are all distinct. The first-order correction to the energy levels is given by the expectation value of the perturbation in the unperturbed state:

E1n = <ψ0n|V|ψ0n>

where ψ0n is the unperturbed wavefunction corresponding to the nth energy level. The first-order correction to the wavefunction is given by:

ψ1n = ∑m≠n 0m> <ψ0m|V|ψ0n> / (E0n - E0m)

Degenerate Perturbation Theory

Degenerate perturbation theory is used when the unperturbed energy levels are degenerate, meaning there are multiple states with the same energy. In this case, the first-order correction to the energy levels is not simply the expectation value of the perturbation. Instead, one must diagonalize the perturbation matrix within the degenerate subspace to find the corrected energy levels and wavefunctions.

For example, if there are d degenerate states with energy E0, the perturbation matrix Vij is defined as:

Vij = <ψ0i|V|ψ0j>

where i and j range over the degenerate states. The corrected energy levels are the eigenvalues of this matrix, and the corrected wavefunctions are the corresponding eigenvectors.

Applications of Perturbation Theory Quantum

Perturbation Theory Quantum has a wide range of applications in physics and chemistry. Some of the most important applications include:

  • Atomic and Molecular Spectroscopy: Perturbation theory is used to calculate the energy levels and transition probabilities of atoms and molecules, which are essential for understanding their spectra.
  • Solid-State Physics: In solid-state physics, perturbation theory is used to study the effects of impurities and defects on the electronic structure of crystals.
  • Nuclear Physics: Perturbation theory is used to calculate the energy levels and decay rates of nuclear states, which are important for understanding nuclear reactions and radioactive decay.
  • Quantum Field Theory: In quantum field theory, perturbation theory is used to calculate scattering amplitudes and cross-sections, which are essential for understanding particle interactions.

Examples of Perturbation Theory Quantum

To illustrate the power of perturbation theory, let's consider a few examples.

Harmonic Oscillator with a Cubic Perturbation

Consider a one-dimensional harmonic oscillator with a cubic perturbation:

H = (p2/2m) + (1/2)mω2x2 + λx3

where p is the momentum, m is the mass, ω is the angular frequency, and λ is a small parameter. The unperturbed Hamiltonian is the harmonic oscillator Hamiltonian, which is exactly solvable. The perturbation is the cubic term λx3.

The first-order correction to the ground state energy is:

E10 = <ψ00|λx300>

Since the ground state wavefunction ψ00 is an even function, the integral vanishes, and the first-order correction is zero. The second-order correction is:

E20 = λ2m≠0 |<ψ0m|x300>|2 / (E00 - E0m)

This sum can be evaluated using the properties of the harmonic oscillator wavefunctions, and the result is:

E20 = (3/4) (λ2/m2ω3)

Hydrogen Atom with a Perturbation

Consider the hydrogen atom with a perturbation V = λz, where z is the position along the z-axis. The unperturbed Hamiltonian is the hydrogen atom Hamiltonian, which is exactly solvable. The perturbation is the linear term λz.

The first-order correction to the ground state energy is:

E10 = <ψ00|λz|ψ00>

Since the ground state wavefunction ψ00 is spherically symmetric, the integral vanishes, and the first-order correction is zero. The second-order correction is:

E20 = λ2m≠0 |<ψ0m|z|ψ00>|2 / (E00 - E0m)

This sum can be evaluated using the properties of the hydrogen atom wavefunctions, and the result is:

E20 = -(9/4) (λ2a2)

where a is the Bohr radius.

Higher-Order Perturbation Theory Quantum

While first-order and second-order perturbation theory are often sufficient for many applications, there are cases where higher-order corrections are necessary. Higher-order perturbation theory involves calculating the corrections to the energy levels and wavefunctions to higher orders in the perturbation parameter λ.

For example, the third-order correction to the energy levels is given by:

E3n = ∑m≠nl≠n0n|V|ψ0m> <ψ0m|V|ψ0l> <ψ0l|V|ψ0n> / [(E0n - E0m)(E0n - E0l)]

Calculating higher-order corrections can be quite involved, but it is necessary for achieving high accuracy in certain applications.

📝 Note: Higher-order perturbation theory can become increasingly complex and computationally intensive, but it provides more accurate results for systems with stronger perturbations.

Time-Dependent Perturbation Theory Quantum

So far, we have discussed time-independent perturbation theory, where the perturbation is constant in time. However, there are many situations where the perturbation is time-dependent. Time-dependent perturbation theory is used to study the effects of time-dependent perturbations on quantum systems.

The time-dependent Schrödinger equation is:

iℏ(∂ψ/∂t) = Hψ

where H is the Hamiltonian, ψ is the wavefunction, and is the reduced Planck constant. If the Hamiltonian can be written as:

H = H0 + V(t)

where H0 is the unperturbed Hamiltonian and V(t) is the time-dependent perturbation, then the wavefunction can be expanded as:

ψ(t) = ∑n cn(t) e-iE0nt/ℏ ψ0n

where cn(t) are the time-dependent coefficients, E0n are the unperturbed energy levels, and ψ0n are the unperturbed wavefunctions. The time-dependent Schrödinger equation can be solved perturbatively to find the time evolution of the coefficients cn(t).

One important application of time-dependent perturbation theory is the calculation of transition probabilities between quantum states. For example, if a system is initially in the state ψ0i and a time-dependent perturbation is applied, the probability of transitioning to a different state ψ0f is given by:

Pif = |cf(t)|2

where cf(t) is the coefficient corresponding to the final state. The first-order correction to cf(t) is:

cf1(t) = (1/iℏ) ∫t0 dt' <ψ0f|V(t')|ψ0i> ei(E0f - E0i)t'/ℏ

This formula is known as Fermi's Golden Rule and is widely used in quantum mechanics to calculate transition probabilities.

Perturbation Theory Quantum in Many-Body Systems

Perturbation theory is not limited to single-particle systems; it can also be applied to many-body systems. In many-body systems, the Hamiltonian typically includes interaction terms between particles, which can be treated as perturbations. For example, consider a system of interacting electrons in a solid, described by the Hamiltonian:

H = H0 + Hint

where H0 is the non-interacting Hamiltonian (e.g., the kinetic energy and external potential) and Hint is the interaction Hamiltonian (e.g., the Coulomb interaction between electrons). The interaction term can be treated as a perturbation, and perturbation theory can be used to calculate the corrections to the energy levels and wavefunctions.

One important technique in many-body perturbation theory is the Feynman diagram method. Feynman diagrams provide a graphical representation of the perturbation series, making it easier to visualize and calculate the contributions from different orders of the perturbation. Each diagram corresponds to a specific term in the perturbation series, and the rules for evaluating the diagrams are well-defined.

For example, consider the second-order correction to the ground state energy of a many-body system. The corresponding Feynman diagram is:

Second-order Feynman diagram

This diagram represents a process where two particles interact twice, and the energy correction can be calculated using the rules for evaluating Feynman diagrams.

Another important technique in many-body perturbation theory is the Green's function method. Green's functions provide a way to describe the propagation of particles in a many-body system and are closely related to the Feynman diagram method. The Green's function for a many-body system can be calculated perturbatively, and it contains information about the energy levels and wavefunctions of the system.

For example, the Green's function for a system of interacting electrons can be written as:

G(k, ω) = 1 / (ω - εk - Σ(k, ω))

where k is the wavevector, ω is the frequency, εk is the non-interacting energy, and Σ(k, ω) is the self-energy, which contains the effects of the interactions. The self-energy can be calculated perturbatively using Feynman diagrams, and it provides the corrections to the energy levels and wavefunctions due to the interactions.

Perturbation theory in many-body systems is a powerful tool for studying the properties of complex systems, such as solids, liquids, and gases. It allows physicists to calculate the effects of interactions between particles and to understand the collective behavior of many-body systems.

📝 Note: Many-body perturbation theory can be quite complex, but it provides a systematic way to calculate the effects of interactions in many-body systems. Feynman diagrams and Green's functions are essential tools for many-body perturbation theory.

Limitations of Perturbation Theory Quantum

While perturbation theory is a powerful tool in quantum mechanics, it does have some limitations. One of the main limitations is that it is only valid when the perturbation is small compared to the unperturbed Hamiltonian. If the perturbation is too large, the perturbation series may not converge, and the results may not be accurate.

Another limitation is that perturbation theory is often difficult to apply to systems with degenerate energy levels. In such cases, degenerate perturbation theory must be used, which can be more complex than non-degenerate perturbation theory.

Additionally, perturbation theory is typically limited to calculating the corrections to the energy levels and wavefunctions. It does not provide information about the dynamics of the system, such as the time evolution of the wavefunction or the transition probabilities between states.

Finally, perturbation theory is often limited to systems with a small number of particles or degrees of freedom. For systems with a large number of particles, such as many-body systems, perturbation theory can become computationally intensive and may not be practical.

Despite these limitations, perturbation theory remains an essential tool in quantum mechanics, and it has been used to make many important discoveries and predictions.

In summary, Perturbation Theory Quantum is a fundamental concept in quantum mechanics that allows physicists to approximate the behavior of quantum systems that are difficult to solve exactly. It is based on the idea that if a system's Hamiltonian can be written as the sum of a solvable part and a small perturbation, then the solutions to the perturbed system can be approximated using the solutions of the unperturbed system. Perturbation theory has a wide range of applications in physics and chemistry, and it is an essential tool for understanding the behavior of quantum systems.

Perturbation theory can be applied to both single-particle and many-body systems, and it provides a systematic way to calculate the corrections to the energy levels and wavefunctions due to a perturbation. However, it does have some limitations, such as the requirement that the perturbation be small and the difficulty of applying it to systems with degenerate energy levels. Despite these limitations, perturbation theory remains an essential tool in quantum mechanics, and

Related Terms:

  • perturbation theory examples
  • perturbation theory quantum mechanics notes
  • rayleigh schrödinger perturbation theory
  • second order degenerate perturbation theory
  • perturbation theory quantum mechanics wikipedia
  • second order correction perturbation theory

More Images