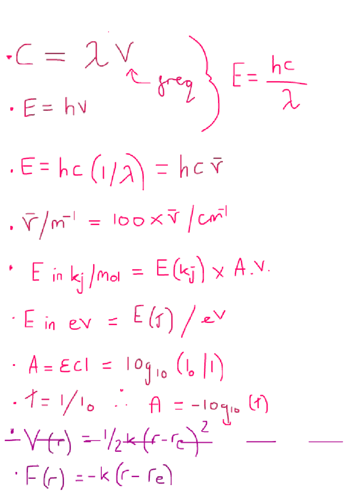
Equation Sheet for Physics: C=2V, E=hc, and More - Studocu
Learning

Equation Sheet for Physics: C=2V, E=hc, and More - Studocu

1200 × 1696 px January 12, 2026 Ashley Learning

Physics C E is a rigorous and comprehensive course designed to challenge high school students with an advanced understanding of physics. It covers a wide range of topics, from classical mechanics to electromagnetism, and is often considered one of the most demanding courses in the Advanced Placement (AP) curriculum. This blog post will delve into the intricacies of Physics C E, exploring its structure, key concepts, and the benefits it offers to students.

Understanding Physics C E

Physics C E is divided into two main sections: Mechanics and Electricity and Magnetism. Each section is designed to provide a deep dive into fundamental principles and their applications. The course is typically taken by students who have a strong foundation in mathematics and physics, as it requires a high level of analytical and problem-solving skills.

Mechanics in Physics C E

The Mechanics section of Physics C E focuses on the laws of motion, forces, and energy. Students learn about Newton's laws, kinematics, and dynamics, which form the backbone of classical mechanics. This section also covers topics such as work, energy, and power, as well as rotational motion and angular momentum.

Key concepts in Mechanics include:

  • Newton's Laws of Motion: These laws describe the relationship between forces acting on a body and its motion, whether it be at rest or moving.
  • Kinematics: This branch of mechanics deals with the motion of objects without considering the forces that cause the motion.
  • Dynamics: This involves the study of forces and their effects on the motion of objects.
  • Work and Energy: These concepts are crucial for understanding how forces can do work on objects and how energy is conserved in various systems.
  • Rotational Motion: This includes the study of objects in rotational motion, such as spinning tops or rotating wheels.

Electricity and Magnetism in Physics C E

The Electricity and Magnetism section of Physics C E explores the fundamental principles of electric and magnetic fields, circuits, and electromagnetic waves. Students learn about Coulomb's law, Gauss's law, and Ampere's law, which are essential for understanding the behavior of electric and magnetic fields.

Key concepts in Electricity and Magnetism include:

  • Electric Fields and Forces: These concepts help students understand how charged particles interact with each other.
  • Electric Potential and Energy: These are crucial for understanding the energy stored in electric fields and how it can be used.
  • Circuits: This includes the study of electric circuits, including resistors, capacitors, and inductors.
  • Magnetic Fields and Forces: These concepts help students understand how magnetic fields are generated and how they interact with moving charges.
  • Electromagnetic Waves: This includes the study of waves that combine electric and magnetic fields, such as light and radio waves.

Benefits of Taking Physics C E

Taking Physics C E offers numerous benefits to students, both academically and professionally. Some of the key advantages include:

  • Advanced Understanding of Physics: The course provides a deep understanding of fundamental physics concepts, which is essential for students pursuing careers in science, engineering, and technology.
  • Improved Problem-Solving Skills: The rigorous nature of the course helps students develop strong analytical and problem-solving skills, which are valuable in any field.
  • Preparation for College-Level Courses: Physics C E is designed to be equivalent to a first-year college physics course, making it an excellent preparation for higher education.
  • College Credit: Many colleges and universities offer credit for AP Physics C E, allowing students to skip introductory physics courses and move on to more advanced topics.
  • Competitive Edge: A strong performance in Physics C E can make a student's college application more competitive, demonstrating their ability to handle challenging coursework.

Preparing for Physics C E

Preparing for Physics C E requires a systematic approach and a solid foundation in mathematics and physics. Here are some steps to help students prepare effectively:

  • Build a Strong Foundation: Ensure you have a good understanding of algebra, trigonometry, and calculus, as these are essential for solving physics problems.
  • Review Previous Physics Courses: Go through your notes and textbooks from previous physics courses to refresh your memory on key concepts.
  • Practice Problems: Regularly solve practice problems and past exam questions to get a feel for the types of questions that will be asked.
  • Use Study Guides and Resources: Utilize study guides, online resources, and textbooks to deepen your understanding of the material.
  • Join Study Groups: Collaborate with classmates to discuss difficult concepts and solve problems together.

📚 Note: It's important to start preparing early and maintain a consistent study schedule to cover all the material thoroughly.

Exam Structure and Scoring

The AP Physics C E exam is designed to test students' understanding of both Mechanics and Electricity and Magnetism. The exam consists of two sections: multiple-choice questions and free-response questions.

The exam structure is as follows:

Section Duration Questions Weight
Multiple-Choice 45 minutes 35 questions 50%
Free-Response 45 minutes 3 questions 50%

The multiple-choice section tests students' knowledge of fundamental concepts and their ability to apply them to solve problems. The free-response section requires students to demonstrate their problem-solving skills and understanding of physics principles through detailed explanations and calculations.

The exam is scored on a scale of 1 to 5, with 5 being the highest score. A score of 3 or higher is generally considered passing and may qualify students for college credit.

📝 Note: It's crucial to manage your time effectively during the exam and to show all your work in the free-response section to maximize your score.

Resources for Physics C E

There are numerous resources available to help students prepare for Physics C E. Some of the most useful resources include:

  • Textbooks: Comprehensive textbooks such as “Physics for Scientists and Engineers” by Giancoli or “Fundamentals of Physics” by Halliday, Resnick, and Krane are excellent resources for in-depth learning.
  • Online Courses

Related Terms:

  • ap physics c formula chart
  • ap physics c formual sheet
  • physics c mechanics equation sheet
  • physics kinematics equation sheet
  • physics c equation sheet

More Images